Exchange rates: 1 GBP = 1.13 EUR; 1 USD = 0.94 EUR [more...]
Language: english

* Standard profile

 


*This company has only Standard profile.
Learn more about Trusted Partner and Eurocompany

Qingdao Echuang Import&export Trading Co., Ltd.

[China]RD(TMQ)

E-mail this Product to friend Add this Product to Basket

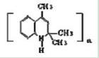
Chemical name: 2,2,4-Trimethyl-1,2-dihydroquinoline polymerized

Molecular formula: (C12H15N)n n=2-4

CAS:26780-96-1

Test method of specification: (GB/T8826-2003)

Index Premium grades Grade one
Appearance Amber to brown slice, pastilles
Softening point,℃≥ 80-100 80-100
Heat loss,%≤ 0.30 0.50
Ash,%≤ 0.30 0.50


Properties: Amber to brown flakes or pastilles,density is 1.05,dissolve in benzene chloroform,and acetone,be insoluble in water, dissolve a little in petrol hydrocarbon.

Application: Use for tyre and other rubber item.
Inquire now

 

Additional information:

Place of origin:China
Price:Ask for price
Packing:Package: 25kgs/bag

 

Related products: Chemicals & Plastics ->Rubber and rubber-based

 
     
 

Qingdao Echuang Import&export Trading Co., Ltd.

Street:Room 604 Block B Zhonghuiyayuan Haier Road
City:Qingdao
Postal code:266061
Country:China
Phone: +86 532 88899713
Fax: +86 532 88960616

Contact person

Name and Surname: Na Li
Phone: +86 532 88899713
Mobile: +86 13808995543
Inquire now